Calculation
Module for calculations and processing of numeric values.
These definitions are part of the calc module and not imported by default.
In addition to the functions listed below, the calc module also defines
the constants pi, tau, e, and inf.
Function
abs
absCalculates the absolute value of a numeric value.
#calc.abs(-5) \
#calc.abs(5pt - 2cm) \
#calc.abs(2fr) \
#calc.abs(decimal("-342.440"))

calc.abs()->anypow
powRaises a value to some exponent.
#calc.pow(2, 3) \
#calc.pow(decimal("2.5"), 2)

calc.pow(,)->exp
expRaises a value to some exponent of e.
#calc.exp(1)

calc.exp()->sqrt
sqrtCalculates the square root of a number.
#calc.sqrt(16) \
#calc.sqrt(2.5)

calc.sqrt()->root
rootCalculates the real nth root of a number.
If the number is negative, then n must be odd.
#calc.root(16.0, 4) \
#calc.root(27.0, 3)

calc.root(,)->radicandRequiredRequiredRequired parameters must be specified when calling the function.PositionalPositionalPositional parameters can be set by specifying them in order, omitting the parameter name.
radicandThe expression to take the root of
indexRequiredRequiredRequired parameters must be specified when calling the function.PositionalPositionalPositional parameters can be set by specifying them in order, omitting the parameter name.
indexWhich root of the radicand to take
sin
sinCalculates the sine of an angle.
When called with an integer or a float, they will be interpreted as radians.
#calc.sin(1.5) \
#calc.sin(90deg)

calc.sin()->cos
cosCalculates the cosine of an angle.
When called with an integer or a float, they will be interpreted as radians.
#calc.cos(1.5) \
#calc.cos(90deg)

calc.cos()->tan
tanCalculates the tangent of an angle.
When called with an integer or a float, they will be interpreted as radians.
#calc.tan(1.5) \
#calc.tan(90deg)

calc.tan()->asin
asinCalculates the arcsine of a number.
#calc.asin(0) \
#calc.asin(1)

calc.asin()->acos
acosCalculates the arccosine of a number.
#calc.acos(0) \
#calc.acos(1)

calc.acos()->atan
atanCalculates the arctangent of a number.
#calc.atan(0) \
#calc.atan(1)

calc.atan()->atan2
atan2Calculates the four-quadrant arctangent of a coordinate.
The arguments are (x, y), not (y, x).
#calc.atan2(1, 1) \
#calc.atan2(-2, -3)

calc.atan2(,)->The X coordinate.
sinh
sinhCalculates the hyperbolic sine of a hyperbolic angle.
#calc.sinh(0) \
#calc.sinh(1.5)

calc.sinh()->valueRequiredRequiredRequired parameters must be specified when calling the function.PositionalPositionalPositional parameters can be set by specifying them in order, omitting the parameter name.
valueThe hyperbolic angle whose hyperbolic sine to calculate.
cosh
coshCalculates the hyperbolic cosine of a hyperbolic angle.
#calc.cosh(0) \
#calc.cosh(1.5)

calc.cosh()->valueRequiredRequiredRequired parameters must be specified when calling the function.PositionalPositionalPositional parameters can be set by specifying them in order, omitting the parameter name.
valueThe hyperbolic angle whose hyperbolic cosine to calculate.
tanh
tanhCalculates the hyperbolic tangent of an hyperbolic angle.
#calc.tanh(0) \
#calc.tanh(1.5)

calc.tanh()->valueRequiredRequiredRequired parameters must be specified when calling the function.PositionalPositionalPositional parameters can be set by specifying them in order, omitting the parameter name.
valueThe hyperbolic angle whose hyperbolic tangent to calculate.
log
logCalculates the logarithm of a number.
If the base is not specified, the logarithm is calculated in base 10.
#calc.log(100)

calc.log(,base:)->The number whose logarithm to calculate. Must be strictly positive.
ln
lnCalculates the natural logarithm of a number.
#calc.ln(calc.e)

calc.ln()->fact
factCalculates the factorial of a number.
#calc.fact(5)

calc.fact()->numberRequiredRequiredRequired parameters must be specified when calling the function.PositionalPositionalPositional parameters can be set by specifying them in order, omitting the parameter name.
numberThe number whose factorial to calculate. Must be non-negative.
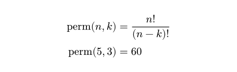
perm
permCalculates a permutation.
Returns the k-permutation of n, or the number of ways to choose k
items from a set of n with regard to order.
$ "perm"(n, k) &= n!/((n - k)!) \
  "perm"(5, 3) &= #calc.perm(5, 3) $

calc.perm(,)->baseRequiredRequiredRequired parameters must be specified when calling the function.PositionalPositionalPositional parameters can be set by specifying them in order, omitting the parameter name.
baseThe base number. Must be non-negative.
numbersRequiredRequiredRequired parameters must be specified when calling the function.PositionalPositionalPositional parameters can be set by specifying them in order, omitting the parameter name.
numbersThe number of permutations. Must be non-negative.
binom
binomCalculates a binomial coefficient.
Returns the k-combination of n, or the number of ways to choose k
items from a set of n without regard to order.
#calc.binom(10, 5)

calc.binom(,)->nRequiredRequiredRequired parameters must be specified when calling the function.PositionalPositionalPositional parameters can be set by specifying them in order, omitting the parameter name.
nThe upper coefficient. Must be non-negative.
kRequiredRequiredRequired parameters must be specified when calling the function.PositionalPositionalPositional parameters can be set by specifying them in order, omitting the parameter name.
kThe lower coefficient. Must be non-negative.
gcd
gcdCalculates the greatest common divisor of two integers.
#calc.gcd(7, 42)

calc.gcd(,)->aRequiredRequiredRequired parameters must be specified when calling the function.PositionalPositionalPositional parameters can be set by specifying them in order, omitting the parameter name.
aThe first integer.
bRequiredRequiredRequired parameters must be specified when calling the function.PositionalPositionalPositional parameters can be set by specifying them in order, omitting the parameter name.
bThe second integer.
lcm
lcmCalculates the least common multiple of two integers.
#calc.lcm(96, 13)

calc.lcm(,)->aRequiredRequiredRequired parameters must be specified when calling the function.PositionalPositionalPositional parameters can be set by specifying them in order, omitting the parameter name.
aThe first integer.
bRequiredRequiredRequired parameters must be specified when calling the function.PositionalPositionalPositional parameters can be set by specifying them in order, omitting the parameter name.
bThe second integer.
floor
floorRounds a number down to the nearest integer.
If the number is already an integer, it is returned unchanged.
Note that this function will always return an integer, and will
error if the resulting float or decimal is larger than the maximum
64-bit signed integer or smaller than the minimum for that type.
#calc.floor(500.1)
#assert(calc.floor(3) == 3)
#assert(calc.floor(3.14) == 3)
#assert(calc.floor(decimal("-3.14")) == -4)

calc.floor()->ceil
ceilRounds a number up to the nearest integer.
If the number is already an integer, it is returned unchanged.
Note that this function will always return an integer, and will
error if the resulting float or decimal is larger than the maximum
64-bit signed integer or smaller than the minimum for that type.
#calc.ceil(500.1)
#assert(calc.ceil(3) == 3)
#assert(calc.ceil(3.14) == 4)
#assert(calc.ceil(decimal("-3.14")) == -3)

calc.ceil()->trunc
truncReturns the integer part of a number.
If the number is already an integer, it is returned unchanged.
Note that this function will always return an integer, and will
error if the resulting float or decimal is larger than the maximum
64-bit signed integer or smaller than the minimum for that type.
#calc.trunc(15.9)
#assert(calc.trunc(3) == 3)
#assert(calc.trunc(-3.7) == -3)
#assert(calc.trunc(decimal("8493.12949582390")) == 8493)

calc.trunc()->fract
fractReturns the fractional part of a number.
If the number is an integer, returns 0.
#calc.fract(-3.1)
#assert(calc.fract(3) == 0)
#assert(calc.fract(decimal("234.23949211")) == decimal("0.23949211"))

calc.fract()->round
roundRounds a number to the nearest integer away from zero.
Optionally, a number of decimal places can be specified.
If the number of digits is negative, its absolute value will indicate the amount of significant integer digits to remove before the decimal point.
Note that this function will return the same type as the operand. That is,
applying round to a float will return a float, and to a decimal,
another decimal. You may explicitly convert the output of this function to
an integer with int, but note that such a conversion will error if the
float or decimal is larger than the maximum 64-bit signed integer or
smaller than the minimum integer.
In addition, this function can error if there is an attempt to round beyond
the maximum or minimum integer or decimal. If the number is a float,
such an attempt will cause float.inf or -float.inf to be returned
for maximum and minimum respectively.
#calc.round(3.1415, digits: 2)
#assert(calc.round(3) == 3)
#assert(calc.round(3.14) == 3)
#assert(calc.round(3.5) == 4.0)
#assert(calc.round(3333.45, digits: -2) == 3300.0)
#assert(calc.round(-48953.45, digits: -3) == -49000.0)
#assert(calc.round(3333, digits: -2) == 3300)
#assert(calc.round(-48953, digits: -3) == -49000)
#assert(calc.round(decimal("-6.5")) == decimal("-7"))
#assert(calc.round(decimal("7.123456789"), digits: 6) == decimal("7.123457"))
#assert(calc.round(decimal("3333.45"), digits: -2) == decimal("3300"))
#assert(calc.round(decimal("-48953.45"), digits: -3) == decimal("-49000"))

calc.round(,)->The number to round.
digits
digitsIf positive, the number of decimal places.
If negative, the number of significant integer digits that should be removed before the decimal point.
0clamp
clampClamps a number between a minimum and maximum value.
#calc.clamp(5, 0, 4)
#assert(calc.clamp(5, 0, 10) == 5)
#assert(calc.clamp(5, 6, 10) == 6)
#assert(calc.clamp(decimal("5.45"), 2, decimal("45.9")) == decimal("5.45"))
#assert(calc.clamp(decimal("5.45"), decimal("6.75"), 12) == decimal("6.75"))

calc.clamp(,,)->The number to clamp.
The inclusive minimum value.
min
minDetermines the minimum of a sequence of values.
#calc.min(1, -3, -5, 20, 3, 6) \
#calc.min("typst", "is", "cool")

calc.min(any)->anyvaluesanyRequiredRequiredRequired parameters must be specified when calling the function.PositionalPositionalPositional parameters can be set by specifying them in order, omitting the parameter name.VariadicVariadicVariadic parameters can be specified multiple times.
valuesThe sequence of values from which to extract the minimum. Must not be empty.
max
maxDetermines the maximum of a sequence of values.
#calc.max(1, -3, -5, 20, 3, 6) \
#calc.max("typst", "is", "cool")

calc.max(any)->anyvaluesanyRequiredRequiredRequired parameters must be specified when calling the function.PositionalPositionalPositional parameters can be set by specifying them in order, omitting the parameter name.VariadicVariadicVariadic parameters can be specified multiple times.
valuesThe sequence of values from which to extract the maximum. Must not be empty.
even
evenDetermines whether an integer is even.
#calc.even(4) \
#calc.even(5) \
#range(10).filter(calc.even)

calc.even()->valueRequiredRequiredRequired parameters must be specified when calling the function.PositionalPositionalPositional parameters can be set by specifying them in order, omitting the parameter name.
valueThe number to check for evenness.
odd
oddDetermines whether an integer is odd.
#calc.odd(4) \
#calc.odd(5) \
#range(10).filter(calc.odd)

calc.odd()->valueRequiredRequiredRequired parameters must be specified when calling the function.PositionalPositionalPositional parameters can be set by specifying them in order, omitting the parameter name.
valueThe number to check for oddness.
rem
remCalculates the remainder of two numbers.
The value calc.rem(x, y) always has the same sign as x, and is smaller
in magnitude than y.
This can error if given a decimal input and the dividend is too small in
magnitude compared to the divisor.
#calc.rem(7, 3) \
#calc.rem(7, -3) \
#calc.rem(-7, 3) \
#calc.rem(-7, -3) \
#calc.rem(1.75, 0.5)

calc.rem(,)->The dividend of the remainder.
div-euclid
div-euclidPerforms euclidean division of two numbers.
The result of this computation is that of a division rounded to the integer
n such that the dividend is greater than or equal to n times the divisor.
#calc.div-euclid(7, 3) \
#calc.div-euclid(7, -3) \
#calc.div-euclid(-7, 3) \
#calc.div-euclid(-7, -3) \
#calc.div-euclid(1.75, 0.5) \
#calc.div-euclid(decimal("1.75"), decimal("0.5"))

calc.div-euclid(,)->The dividend of the division.
rem-euclid
rem-euclidThis calculates the least nonnegative remainder of a division.
Warning: Due to a floating point round-off error, the remainder may equal the absolute value of the divisor if the dividend is much smaller in magnitude than the divisor and the dividend is negative. This only applies for floating point inputs.
In addition, this can error if given a decimal input and the dividend is
too small in magnitude compared to the divisor.
#calc.rem-euclid(7, 3) \
#calc.rem-euclid(7, -3) \
#calc.rem-euclid(-7, 3) \
#calc.rem-euclid(-7, -3) \
#calc.rem-euclid(1.75, 0.5) \
#calc.rem-euclid(decimal("1.75"), decimal("0.5"))

calc.rem-euclid(,)->The dividend of the remainder.
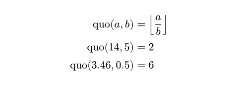
quo
quoCalculates the quotient (floored division) of two numbers.
Note that this function will always return an integer, and will
error if the resulting float or decimal is larger than the maximum
64-bit signed integer or smaller than the minimum for that type.
$ "quo"(a, b) &= floor(a/b) \
  "quo"(14, 5) &= #calc.quo(14, 5) \
  "quo"(3.46, 0.5) &= #calc.quo(3.46, 0.5) $

calc.quo(,)->The dividend of the quotient.
norm
normCalculates the p-norm of a sequence of values.
#calc.norm(1, 2, -3, 0.5) \
#calc.norm(p: 3, 1, 2)

calc.norm(p:,)->valuesRequiredRequiredRequired parameters must be specified when calling the function.PositionalPositionalPositional parameters can be set by specifying them in order, omitting the parameter name.VariadicVariadicVariadic parameters can be specified multiple times.
valuesThe sequence of values from which to calculate the p-norm.
Returns 0.0 if empty.