Sizes
Forced size styles for expressions within formulas.
These functions allow manual configuration of the size of equation elements to make them look as in a display/inline equation or as if used in a root or sub/superscripts.
Function
display
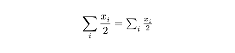
displayForced display style in math.
This is the normal size for block equations.
$sum_i x_i/2 = display(sum_i x_i/2)$

math.display(,)->bodyRequiredRequiredRequired parameters must be specified when calling the function.PositionalPositionalPositional parameters can be set by specifying them in order, omitting the parameter name.
bodyThe content to size.
cramped
crampedWhether to impose a height restriction for exponents, like regular sub- and superscripts do.
falseinline
inlineForced inline (text) style in math.
This is the normal size for inline equations.
$ sum_i x_i/2
= inline(sum_i x_i/2) $

math.inline(,)->bodyRequiredRequiredRequired parameters must be specified when calling the function.PositionalPositionalPositional parameters can be set by specifying them in order, omitting the parameter name.
bodyThe content to size.
cramped
crampedWhether to impose a height restriction for exponents, like regular sub- and superscripts do.
falsescript
scriptForced script style in math.
This is the smaller size used in powers or sub- or superscripts.
$sum_i x_i/2 = script(sum_i x_i/2)$

math.script(,)->bodyRequiredRequiredRequired parameters must be specified when calling the function.PositionalPositionalPositional parameters can be set by specifying them in order, omitting the parameter name.
bodyThe content to size.
cramped
crampedWhether to impose a height restriction for exponents, like regular sub- and superscripts do.
truesscript
sscriptForced second script style in math.
This is the smallest size, used in second-level sub- and superscripts (script of the script).
$sum_i x_i/2 = sscript(sum_i x_i/2)$

math.sscript(,)->bodyRequiredRequiredRequired parameters must be specified when calling the function.PositionalPositionalPositional parameters can be set by specifying them in order, omitting the parameter name.
bodyThe content to size.
cramped
crampedWhether to impose a height restriction for exponents, like regular sub- and superscripts do.
true